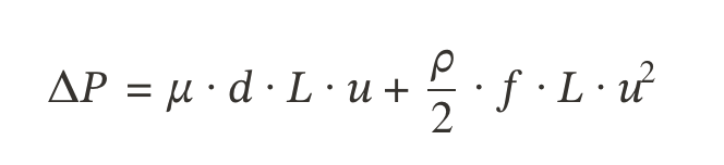
Druckverlust im porösen Medium



Die Darcy-Forchheimer-Koeffizenten werden mit gemessenen Druckverlusten bestimmt: Link

Fehlende Eingabewerte werden aus einem Beispiel für Luftstömung durch einen Wärmetauscher ergänzt.






Viskosität μ / kg/m/s:
Darcy-Koeffizient d:
Länge L / m:
Geschwindigkeit u / m/s:
Dichte ρ / kg/m3:
Forchheimer-Koeffizient f:

Druckverlust: kPa





zurück