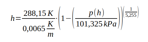
Höhenformel, International




Die Internationale Höhenformel ist gültig bis in 11km Höhe.




Höhe h / m:
Höhe h / ft:
Druck p(h) / kPa:
Druck p(h) / bar:





zurück