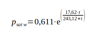
Sättigungsdampfdruck - Wasser (Magnus)



Die Magnusformel ist gültig von -50°C bis 100°C.

Temperatur t: °C

Druck p: kPa




Temperatur t / K:
Temperatur t / °C:
Druck p_sat_w / kPa:
Druck p_sat_w / bar:





zurück